What Is A Memorandum Of Understanding?
What is a Memorandum of Understanding?
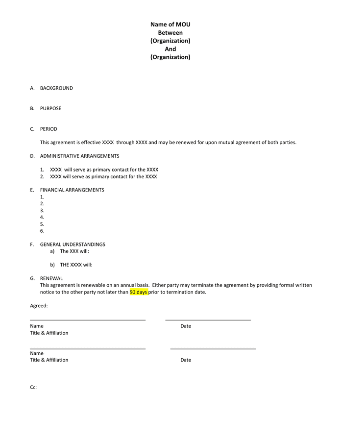
A memorandum of understanding (MOU) is a legal document that sets forth an agreement between two parties, often referred to as the parties, to work together to achieve a common goal or outcome. The MOU is not a legally binding contract, but it does provide a framework for understanding the expectations and responsibilities of each party. It is typically used to formalize agreements between organizations, businesses, or individuals.
What Should be Included in an MOU?
The contents of an MOU can vary, depending on the nature of the agreement. Generally, however, an MOU should include the following information:
- A description of the parties involved in the agreement.
- A description of the objectives and goals of the agreement.
- A description of the duties and responsibilities of each party.
- A timeline for the completion of the agreement.
- A description of any financial or other compensation to be paid.
- A description of any services or materials to be provided.
- A description of any other terms or conditions of the agreement.
- A signature block for each party.
What are the Benefits of an MOU?
The primary benefit of an MOU is that it provides a framework for the parties to work together in a mutually beneficial manner. It also provides a clear understanding of each party’s responsibilities, which can help to avoid misunderstandings or disputes. An MOU is also useful for documenting agreements that may not require a legally binding contract, such as certain business partnerships.
When Should an MOU be Used?
An MOU should be used whenever two parties need to document an agreement. It is especially useful when the parties do not want to enter into a legally binding contract, but still need to document their agreement. Examples of situations where an MOU may be used include joint ventures, business partnerships, collaborations, and other agreements between organizations or individuals.
Conclusion
A memorandum of understanding (MOU) is a legal document that sets forth an agreement between two parties. It provides a framework for understanding the expectations and responsibilities of each party and can be used to document agreements that may not require a legally binding contract. An MOU should be used whenever two parties need to document an agreement, and should include a description of the parties involved, a description of the objectives and goals of the agreement, a timeline for completion, and a signature block for each party.
Thank you for visiting What Is A Memorandum Of Understanding?. There are a lot of beautiful templates out there, but it can be easy to feel like a lot of the best cost a ridiculous amount of money, require special design. And if at this time you are looking for information and ideas regarding the What Is A Memorandum Of Understanding? then, you are in the perfect place. Get this What Is A Memorandum Of Understanding? for free here. We hope this post What Is A Memorandum Of Understanding? inspired you and help you what you are looking for.
What Is A Memorandum Of Understanding? was posted in May 15, 2023 at 10:46 am. If you wanna have it as yours, please click the Pictures and you will go to click right mouse then Save Image As and Click Save and download the What Is A Memorandum Of Understanding? Picture.. Don’t forget to share this picture with others via Facebook, Twitter, Pinterest or other social medias! we do hope you'll get inspired by SampleTemplates123... Thanks again! If you have any DMCA issues on this post, please contact us!
