Employee Loan Agreements: What You Need To Know In 2023
Employee Loan Agreements: What You Need to Know in 2023
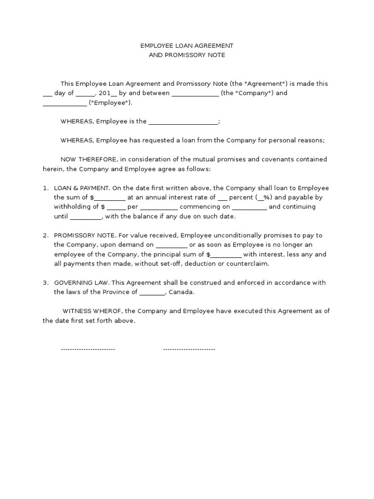
As an employer, you need to be aware of the various loan agreement options available to your staff. The right agreement can provide additional financial security and peace of mind for your employees and ensure that everyone involved understands the terms and conditions of the loan. In this article, we’ll discuss the most common types of employee loan agreements, so you can make sure you’re up to date in 2023.
Unsecured Loan Agreements
An unsecured loan agreement is a contract between an employee and employer whereby the employer agrees to provide a loan to the employee and the employee agrees to repay the loan in a specified period of time. An unsecured loan does not require any collateral from the employee and is typically offered at a lower interest rate than a secured loan. This type of loan is often used to provide employees with funds to purchase a home, vehicle, or other large purchase.
Secured Loan Agreements
A secured loan agreement is a contract between an employee and employer whereby the employer agrees to provide a loan to the employee and the employee agrees to provide collateral as security for the loan. This type of loan is often used to finance large purchases and is typically offered at a higher interest rate than an unsecured loan. The most common type of collateral is a lien on the employee’s home or other real estate.
Interest Rates
When entering into a loan agreement, it’s important to consider the interest rate. This is the percentage of the loan amount that the employee will be charged for borrowing the money. The interest rate should be clearly stated in the loan agreement, along with the repayment terms and any applicable fees. It’s important to note that interest rates are subject to change over time, so it’s important to review the agreement periodically to ensure that the terms are still favorable.
Repayment Terms
The repayment terms of the loan agreement should be clearly stated in the agreement and should include the payment schedule, the amount of each payment, and any applicable penalties for late payments. It’s important to note that some loan agreements may also include provisions for early repayment or other incentives for paying off the loan early. Be sure to review these provisions carefully, as they can have a significant impact on the total cost of the loan.
Thank you for visiting Employee Loan Agreements: What You Need To Know In 2023. There are a lot of beautiful templates out there, but it can be easy to feel like a lot of the best cost a ridiculous amount of money, require special design. And if at this time you are looking for information and ideas regarding the Employee Loan Agreements: What You Need To Know In 2023 then, you are in the perfect place. Get this Employee Loan Agreements: What You Need To Know In 2023 for free here. We hope this post Employee Loan Agreements: What You Need To Know In 2023 inspired you and help you what you are looking for.
Employee Loan Agreements: What You Need To Know In 2023 was posted in March 14, 2023 at 3:42 pm. If you wanna have it as yours, please click the Pictures and you will go to click right mouse then Save Image As and Click Save and download the Employee Loan Agreements: What You Need To Know In 2023 Picture.. Don’t forget to share this picture with others via Facebook, Twitter, Pinterest or other social medias! we do hope you'll get inspired by SampleTemplates123... Thanks again! If you have any DMCA issues on this post, please contact us!
