Everything You Need To Know About A Dj Contract
Everything You Need to Know About a DJ Contract
What is a DJ Contract?
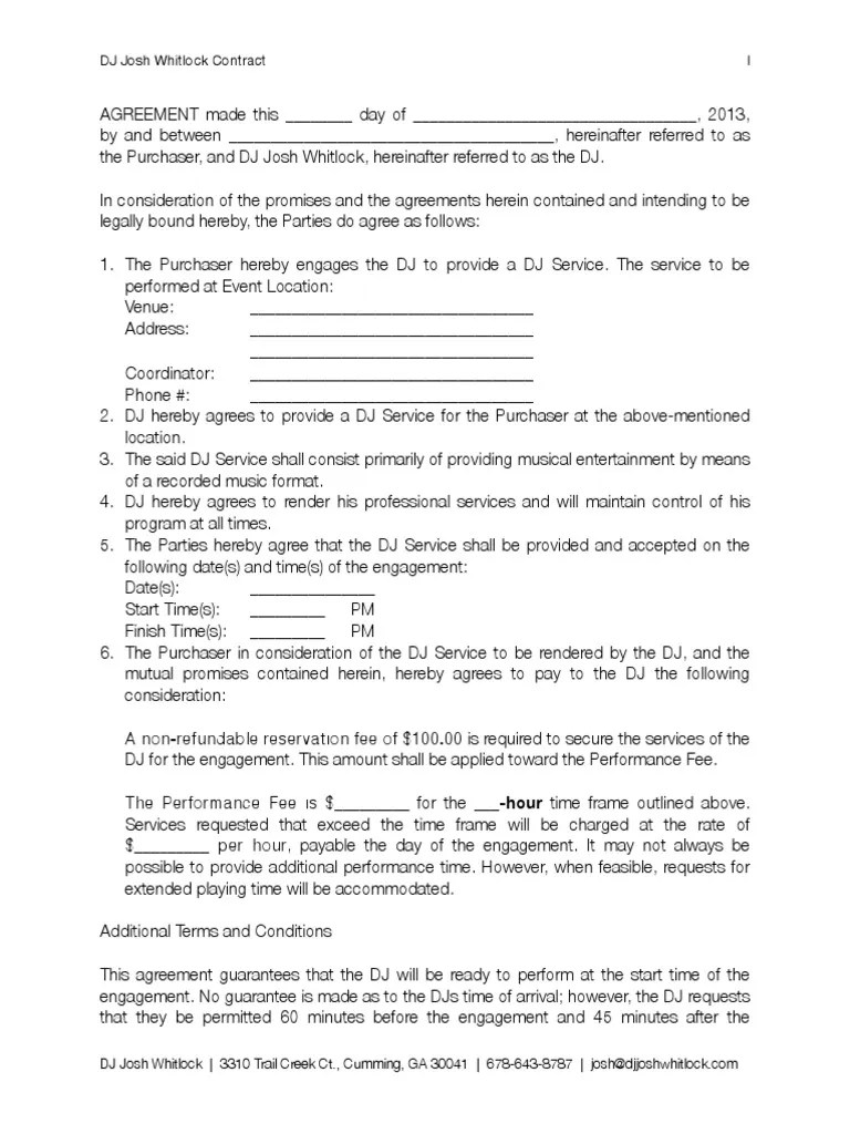
A DJ contract is a legal document that outlines the terms and conditions of a DJ’s performance for a particular event. It is designed to protect both the DJ and the client from any misunderstandings or disputes that may arise during the process. It is important to have a DJ contract in place prior to the performance so that everyone is on the same page and knows what to expect.
What Should Be Included in a DJ Contract?
A DJ contract should include the following information: contact details of both the DJ and the client, the date and location of the event, the duration of the performance, the cost of the performance, the type of music to be played, any special equipment or services that may be required, and any other relevant details. It should also include a clause that outlines any applicable cancellation or refund policies.
How Can I Get a DJ Contract?
The best way to get a DJ contract is to contact a professional DJ agency. They will be able to provide you with a contract template that you can customize to fit your needs. Alternatively, you can find a DJ contract template online and complete it yourself. Make sure that all information is accurate and up-to-date before signing the contract.
Why Do I Need a DJ Contract?
A DJ contract is essential for protecting both you and your client in the event of any misunderstandings or disputes. It ensures that both parties are aware of their rights and responsibilities, and that all details are clearly laid out. It also helps to prevent any financial disputes by outlining the cost of the performance and any applicable cancellation or refund policies.
In Summary
A DJ contract is an essential document that protects both the DJ and the client in the event of any misunderstandings or disputes. It should include contact details, the date and location of the event, the duration of the performance, the cost of the performance, the type of music to be played, any special equipment or services that may be required, and any other relevant details. It is important to get a DJ contract in place prior to the performance so that everyone is on the same page and knows what to expect.
Thank you for visiting Everything You Need To Know About A Dj Contract. There are a lot of beautiful templates out there, but it can be easy to feel like a lot of the best cost a ridiculous amount of money, require special design. And if at this time you are looking for information and ideas regarding the Everything You Need To Know About A Dj Contract then, you are in the perfect place. Get this Everything You Need To Know About A Dj Contract for free here. We hope this post Everything You Need To Know About A Dj Contract inspired you and help you what you are looking for.
Everything You Need To Know About A Dj Contract was posted in April 12, 2023 at 11:05 am. If you wanna have it as yours, please click the Pictures and you will go to click right mouse then Save Image As and Click Save and download the Everything You Need To Know About A Dj Contract Picture.. Don’t forget to share this picture with others via Facebook, Twitter, Pinterest or other social medias! we do hope you'll get inspired by SampleTemplates123... Thanks again! If you have any DMCA issues on this post, please contact us!
