Tips On How To Draft A Dj Contract
Tips on How to Draft a Dj Contract
Why Do You Need a Dj Contract?
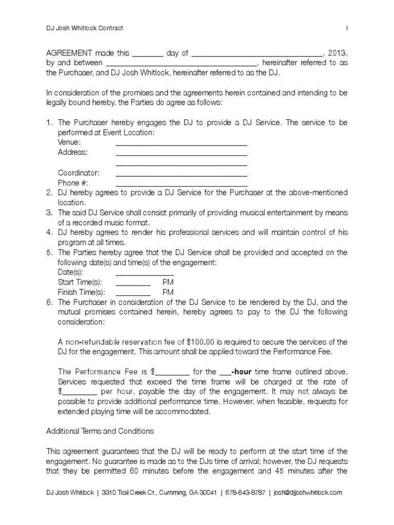
A DJ contract, also known as an agreement or a service agreement, is a legally binding document that outlines the rights and responsibilities of both the DJ and their client. It helps to protect both parties from misunderstandings, disputes, and legal action. A DJ contract can also be used to outline the terms of the DJ’s services and fees, the venue’s requirements, and other details such as the type of music and equipment to be used.
Important Terms to Include in Your Dj Contract
A DJ contract should include the following information:
- Names, addresses, and contact information for both the DJ and the client.
- Length of the performance and start and end times.
- Cost and payment terms.
- Cancellation policy.
- Venue requirements, such as sound system, set-up time, and power requirements.
- Music selection, volume, and other restrictions.
- Equipment and personnel needed.
- Responsibility for lost or damaged equipment.
- Indemnification clause.
- Signature lines for both parties.
Tips for Negotiating a Dj Contract
When negotiating a DJ contract, it is important to be clear about what is expected of both parties. Here are some tips for negotiating a DJ contract:
- Be clear about your expectations. Make sure that you and the DJ have the same understanding of the terms of the agreement.
- Be open to negotiation. Don’t be afraid to ask for a lower rate or additional services in exchange for a longer performance.
- Be prepared to walk away if the DJ is not willing to negotiate. Don’t accept a contract that is not in your best interests.
- Make sure that all terms of the agreement are in writing. This includes payment terms, cancellation policies, and other details.
- Read the contract carefully before signing. Make sure that you understand the terms and that all the information is accurate.
Conclusion
A DJ contract is an important document when hiring a DJ for your event. It helps to protect both the DJ and their client and can be used to outline the terms of the agreement. When negotiating a DJ contract, it is important to be clear about your expectations and to be open to negotiation. Make sure that all terms of the agreement are in writing and that you read the contract carefully before signing.
Thank you for visiting Tips On How To Draft A Dj Contract. There are a lot of beautiful templates out there, but it can be easy to feel like a lot of the best cost a ridiculous amount of money, require special design. And if at this time you are looking for information and ideas regarding the Tips On How To Draft A Dj Contract then, you are in the perfect place. Get this Tips On How To Draft A Dj Contract for free here. We hope this post Tips On How To Draft A Dj Contract inspired you and help you what you are looking for.
Tips On How To Draft A Dj Contract was posted in July 6, 2023 at 11:52 am. If you wanna have it as yours, please click the Pictures and you will go to click right mouse then Save Image As and Click Save and download the Tips On How To Draft A Dj Contract Picture.. Don’t forget to share this picture with others via Facebook, Twitter, Pinterest or other social medias! we do hope you'll get inspired by SampleTemplates123... Thanks again! If you have any DMCA issues on this post, please contact us!
