How To Write A Business Letter Of Intent In Relaxed English Language
How to Write a Business Letter of Intent in Relaxed English Language
What Is a Business Letter of Intent?
A business letter of intent is a formal document that outlines the intentions of one or more parties in a business deal. It is usually used when a business is about to enter into a contract, or when an agreement has been reached between two or more parties. The letter of intent outlines the key terms, obligations, and expectations of the parties involved. It is often used as a way to document the framework of an agreement before the final version is drafted and signed.
Tips for Writing a Business Letter of Intent
When writing a business letter of intent, it is important to keep in mind the following tips:
- Be clear and concise. Make sure that all the terms are stated clearly and concisely in the letter.
- Outline the key points. Include all the key points that will form the basis of the agreement.
- Be specific. Include specific details about the terms of the agreement, such as the timeline and the monetary value of the agreement.
- Keep it professional. Use a formal tone and language throughout the letter.
- Use relaxed English language. Use simple language and avoid overly formal or technical language.
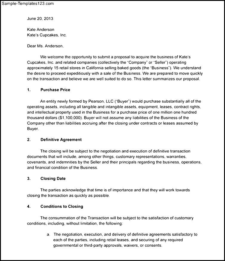
Example of a Business Letter of Intent
Here is an example of a business letter of intent for a contract between two parties:
We, [name of company], are pleased to announce that we have reached an agreement with [name of other company] to enter into a contract for [outline the purpose of the contract]. The key terms of the agreement are as follows: [list the key terms]. All parties involved agree to these terms and expect to sign the final contract within [timeframe].
Conclusion
Writing a business letter of intent is an important part of any business deal. It is important to be clear, concise, and specific when writing the letter and to use relaxed English language to make it easier to understand. Following these tips should help make the process of writing a letter of intent a bit easier.
Thank you for visiting How To Write A Business Letter Of Intent In Relaxed English Language. There are a lot of beautiful templates out there, but it can be easy to feel like a lot of the best cost a ridiculous amount of money, require special design. And if at this time you are looking for information and ideas regarding the How To Write A Business Letter Of Intent In Relaxed English Language then, you are in the perfect place. Get this How To Write A Business Letter Of Intent In Relaxed English Language for free here. We hope this post How To Write A Business Letter Of Intent In Relaxed English Language inspired you and help you what you are looking for.
How To Write A Business Letter Of Intent In Relaxed English Language was posted in March 30, 2023 at 7:50 am. If you wanna have it as yours, please click the Pictures and you will go to click right mouse then Save Image As and Click Save and download the How To Write A Business Letter Of Intent In Relaxed English Language Picture.. Don’t forget to share this picture with others via Facebook, Twitter, Pinterest or other social medias! we do hope you'll get inspired by SampleTemplates123... Thanks again! If you have any DMCA issues on this post, please contact us!
